Uma onda protecionista à vista?
No último dia 2 de abril, o presidente dos EUA, Donald Trump, anunciou ao mundo o que ficou conhecido como Dia da Libertação da América. A partir deste momento, iniciou-se a aplicação de tarifas mais altas sobre os países que, na avaliação da Casa Branca, prejudicavam a indústria norte-americana, elevando os impostos incidentes sobre seus produtos importados.
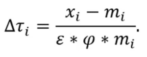
As novas alíquotas, que oscilavam entre 10% e 50%, somavam-se às tarifas já em vigor, impostas em rodadas anteriores pela administração norte-americana. Para definir quanto de tarifa (imposto de importação) cada país receberia, formulou-se o seguinte cálculo:

Diante dessa fórmula, é importante assentar que ela é mais simples do que parece: divide-se o déficit comercial dos EUA com um país pelo total que os norte-americanos importam desse mesmo país e, em seguida, reparte-se o quociente pela metade. O resultado define a “tarifa recíproca” a ser aplicada, sempre com um piso de 10%.
Informações direto ao ponto sobre o que realmente importa: assine gratuitamente a JOTA Principal, a nova newsletter do JOTA
Por apresentar déficit comercial recorrente com os EUA — em 2024, por exemplo, o saldo negativo foi de US$ 253 milhões — o Brasil ficou sujeito à alíquota mínima de 10%, assim como Argentina, Uruguai, Reino Unido, Egito, Arábia Saudita, entre outros.
Em termos eminentemente práticos, depois de décadas defendendo o livre-comércio, os EUA passaram a liderar uma guinada protecionista, levando vários países a elevar suas próprias tarifas de importação tanto em retaliação às medidas unilaterais de Washington quanto para resguardar seus mercados internos.
Nesse contexto, nos parece importante examinar algumas das repercussões econômicas dessa onda de protecionismo que surgiu desde a posse de Donald Trump. Até porque, onde há nova tarifa, há redistribuição de riscos e conflitos, que, se intensificados, podem virar uma guerra comercial.
Nada de novo no front: olhando experiências protecionistas passadas
Historicamente, guerras comerciais são tanto disputas comerciais quanto batalhas políticas, moldadas por interesses regionais e pela busca por vantagens econômicas.
Um exemplo clássico é a tensão entre os estados do Norte e do Sul dos EUA nas décadas que precederam a Guerra Civil (1861-1865). O Norte, que se industrializava rapidamente, favorecia tarifas protecionistas para proteger suas fábricas da concorrência estrangeira, enquanto o Sul, fortemente dependente da exportação de algodão para mercados europeus, defendia tarifas baixas para garantir acesso competitivo a esses mercados.
Essa divergência econômica exacerbou as tensões regionais, reforçando divisões políticas insustentáveis, culminando em um conflito armado que transformaria a economia e a estrutura social do país[1].
Outro exemplo de guerra comercial, que impactou o mundo inteiro, ocorreu após a crise de 1929, quando o presidente Herbert Hoover aprovou uma lei tarifária, conhecida por tarifas Smoot-Hawley, na tentativa de proteger a economia americana do colapso. O discurso do então governo americano era de que as tarifas tinham a pretensão de proteger a indústria e a agricultura da concorrência externa, incentivando o consumo de produtos nacionais e ajudando a recuperar a economia no pós-crash da bolsa. Todavia, não foi exatamente isto que aconteceu.
Na realidade, em retaliação às tarifas Smoot-Hawley, muitos países responderam também com taxações sobre produtos americanos, e isto causou uma queda acentuada no comércio internacional, inclusive nas exportações americanas, acentuando a crise econômica[2].
A título de uma advertência histórica, mesmo um rol enxuto de guerras tarifárias nos parece suficiente para sinalizar que toda vez que uma nação erige barreiras alfandegárias em nome da salvação doméstica, reacende-se o fogo das rivalidades políticas, dilui-se a confiança mútua e abre-se a temporada das retaliações em cadeia.
O resultado tende a apontar para uma fragmentação das cadeias globais e para a possível retração dos investimentos na exata medida em que cada nova tarifa carrega, no verso de sua promessa, um risco intangível.
O protecionismo sob a ótica da AED
Sob o prisma da Análise Econômica do Direito (AED), e a partir da ideia de payoff, é fundamental reconhecer que toda guerra comercial envolve uma redistribuição de custos e benefícios que raramente se limita aos governos que lhe dão início. Como já dito, a imposição de tarifas pode parecer vantajosa para o ente que arrecada mais ou para os setores que recebem proteção direta contra a concorrência externa. Contudo, o quadro completo revela que os ganhos imediatos são frequentemente compensados por custos dispersos ao longo da economia.
Para os países que não deram início ao conflito, cabe cautela antes de retaliar, ainda mais quando se tratam de economias emergentes. O Brasil, por exemplo, aprovou uma lei, após o anúncio do tarifaço de Trump, que possibilita o governo federal retaliar países que adotem tarifas unilaterais.
Contudo, nosso país depende mais da relação comercial com os EUA (tanto no quesito importação quanto exportação) do que eles dependem de nós, o que dá aos EUA um poder de barganha maior em relação ao Brasil. Se taxarmos os produtos americanos em forma de retaliação, poderemos observar um avanço da inflação aqui superior a deles.
O horizonte de uma guerra sem fim
Ainda que essa guerra comercial, iniciada em 2025, termine em acordos parciais – como tantas vezes aconteceu no passado – algumas consequências são ao menos racionais. Para além dos conflitos políticos entre diferentes governos que podem surgir, a fragmentação das cadeias globais de suprimentos é um medo que atinge toda a economia global[3].
Isso porque a imprevisibilidade tributária amplia o prêmio de risco exigido por investidores, encarecendo o capital. Por conseguinte, obrigando os países a negociarem entre si, a fim de reduzir tarifas recíprocas e desincentivando o multilateralismo comercial, que havia ganhado força desde o fim da Segunda Guerra Mundial.
Para o Brasil, cuja dependência comercial dos Estados Unidos confere a Washington poder de barganha desproporcional, a estratégia sensata é a prudência diplomática e prontidão legislativa (vide Lei 15.122/2025). Nesse sentido, é preciso afirmar o compromisso com o livre-comércio, cultivar alianças que reforcem o multilateralismo e evitar o impulso de escalar uma disputa de forma interminável.
Por fim, reconhece-se que este ensaio é, por definição, arriscado na medida em que ousa refletir sobre um fenômeno ainda em construção. Contudo, dessa contingência não se segue que devamos abdicar de formular, ao menos, reflexões provisórias.
Com efeito, os quatro movimentos previamente traçados convergem para um paradoxo recorrente: sempre que o protecionismo é alçado à condição de política de Estado, com ele projetam-se dúvidas sobre o futuro. Ao fim e ao final, uma incerteza que impõe o encargo de vigiar de perto os seus desdobramentos.
[1] cf. IRWIN, Douglas A. Clashing over commerce: A history of US trade policy. University of Chicago Press, 2017.
[2] cf. IRWIN, Douglas A. The Smoot-Hawley tariff: A quantitative assessment. Review of Economics and statistics, v. 80, n. 2, p. 326-334, 1998.
[3] FOLHA DE SÃO PAULO. Guerra comercial entre EUA e China atinge suprimentos globais. Disponível em: https://www1.folha.uol.com.br/mercado/2025/06/guerra-comercial-entre-eua-e-china-atinge-suprimentos-globais.shtml. Acesso em: 5 jun. 2025.